[成果]a漫画
张同杰教授团队在高频引力波射电观测研究上取得重要进展
近日,北京师范大a漫画 张同杰教授宇宙学与地外智慧生命搜寻团队在国际期刊《天体物理学杂志》(The Astrophysical Journal)发表题为《Theoretical Radio Signals from Radio-Band Gravitational Waves Converted from the Neutron Star Magnetic Field》和《Polarization Properties of the Electromagnetic Response to High-frequency Gravitational Wave》的高频引力波研究成果。成果聚焦兆赫兹至吉赫兹(MHz-GHz)频段的高频引力波探测这一国际前沿热点,系统梳理了其电磁转换机制,深入探讨了中国天眼500米口径球面射电望远镜(FAST)和平方千米阵列阵列(SKA)等射电望远镜在捕获高频引力波信号中的独特优势与广阔前景。由于该频段缺乏已知的天体物理源,它为探索原初黑洞、暴胀等提供了重要契机。成果不仅揭示了高频引力波可能的电磁表现形式和偏振特征,也为国际上亟待解决的高频引力波探测难题提供了全新的思路。随着观测技术的不断突破与观测时长的逐步积累,高频引力波有望与已被探测的低频引力波形成互补,为引力波探测开创了新窗口。
引力波是时空的“涟漪”,能够携带宇宙最深处和最早时期的信息。自激光干涉引力波天文台(Laser Interferometer Gravitational-Wave Observatory:LIGO)首次直接探测到引力波以来,低频段的引力波研究已取得革命性的突破,并因此荣获2017年诺贝尔物理学奖。相比之下,在MHz-GHz范围的高频引力波探测仍然是一片空白,却可能蕴藏着极其重要的宇宙学信息。例如,早期宇宙暴胀过程中产生的原初引力波、原初黑洞的并合信号等,都可能在高频段留下痕迹。若能探测到这些信号,将有望揭开“暴胀结束至核合成前”这一关键时期的谜团,拓展我们对宇宙最早和最深处的认知。

图1. 当前及未来实验对引力子质量的限制
在探索高频引力波的过程中,科学家提出了一种独特的物理机制,逆Gertsenshtein-Zeldovich(GZ)效应,它揭示了引力波与电磁波之间的微妙联系:当引力波穿越磁场时,会与之发生耦合并转化为光子,从而产生可被射电望远镜捕捉的信号。其本质是引力波“扰动”了磁场,且通常磁场越强、引力波穿行的路径越长,转化概率就越高。在脉冲星等强磁场天体周围,这一效应尤为显著。借助逆GZ效应,人类有望利用射电望远镜间接探测MHz-GHz频段的高频引力波。

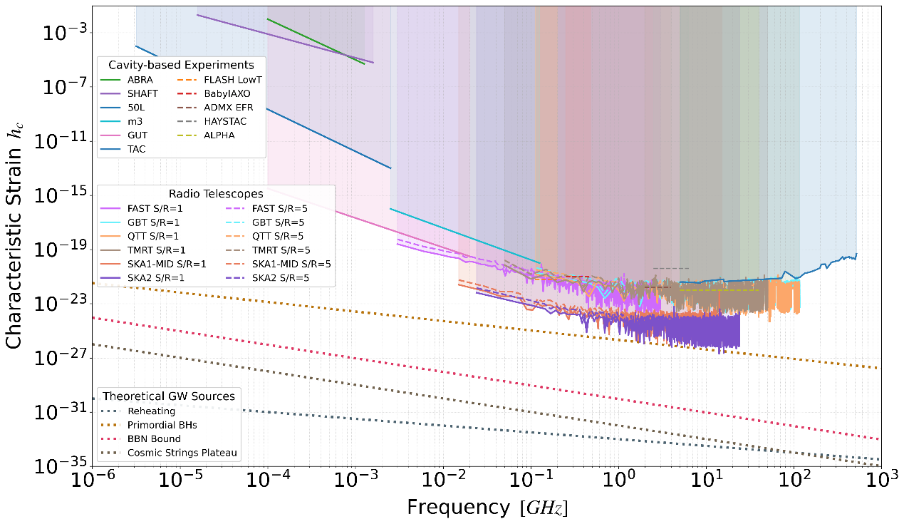
图2. 基于FAST等射电望远镜在脉冲星磁场下对高频引力波的理论探测上限值
两项研究的共同目标是为破解高频引力波探测这一国际难题提供新的思路。研究成果表明,利用现有与下一代的射电观测设施,如FAST和SKA等,有望在未来实现对高频引力波的间接探测。研究指出,脉冲星强大且广阔的磁场能够显著提高引力波—电磁波的转换概率,从而产生可被射电望远镜捕获的两类典型时域信号。研究还深入探讨了引力波激发的电磁波在传播过程中的偏振性质。研究发现,当极化引力波经过星际及宇宙磁化等离子体时,会在转换出的电磁波中留下独特的偏振特征,这些信号既可能受到法拉第旋转和去偏振效应的影响,也能通过偏振测量反推出引力波源的性质。研究预测了FAST和SKA等望远镜针对高频引力波的观测灵敏度,表明未来有望利用偏振特征来识别并研究高频引力波信号。

图3. 基于FAST等在宇宙磁场背景下对高频引力波的偏振特征应变给出的理论上限约束
随着中国天眼500米口径球面射电望远镜核心阵列(Five-hundred-meter Aperture Spherical Radio Telescope Core Array:FASTA)、SKA等下一代射电望远镜的建设,人类正迈入高频引力波探索的黄金时代。
a漫画 、天文与天体物理前沿研究所博士生洪玮和李健康分别为两篇论文第一作者,a漫画 、天文与天体物理前沿研究所教授张同杰为论文通讯作者。该工作获得国家重点研发计划“平方公里阵列射电望远镜(SKA)”专项(2022SKA0110202)、国家重点研发计划(2024YFA1611804)和中国载人航天工程(CMS-CSST-2025-A01)的支持。
原文链接:
//iopscience.iop.org/article/10.3847/1538-4357/adf19a
//iopscience.iop.org/article/10.3847/1538-4357/adce0a



