科研进展:无限层镍氧化物超导薄膜中各向同性的量子格里菲斯奇异性
从发现铜氧化物高温超导现象至今,阐明高温超导电性的物理机制、寻找更高的Tc乃至室温量级的新超导体一直是科学家的奋斗目标。最近,在无限层镍氧化物中发现的与铜基超导相类似的非常规超导电性[1]激发起了人们新一轮的研究兴趣。作为一个迅速发展的领域,镍基超导在实验上还有很多亟待解决的科学问题,如112相母体中是否存在磁有序。虽然在块材核磁共振和薄膜共振非弹性X射线散射研究中,已经观察到112母相在有限温度下存在一定的磁激发和自旋涨落,但是目前无论是在薄膜还是块材形式的112相中都没有观测到与铜氧化物和铁基高温超导母体类似的长程反铁磁序的存在。最近,聂家财教授研究组报道在欠掺杂Nd1-xSrxNiO2超导薄膜中发现了近藤散射效应[2]。这表明,长程反铁磁序的缺失可能与Ni-3d轨道的自掺杂或近藤效应有关。另一方面,薄膜的不均匀性,如源自于镍基超导样品非原位生长的杂质和缺陷,也可能会破坏长程反铁磁序。此外,扫描透射电子显微镜实验还报道了在样品表面顶部形成的Ruddlesden-Popper型垂直结构缺陷。这种猝灭的无序效应可以显著改变超导体-金属转变(SMT)的临界行为,并产生量子格里菲斯奇异性(QGS)。然而,磁场诱导的QGS主要存在于传统超导体中[3],这种奇异的量子临界现象是否会存在于非常规超导体中仍有待探索。
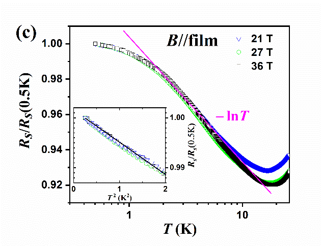
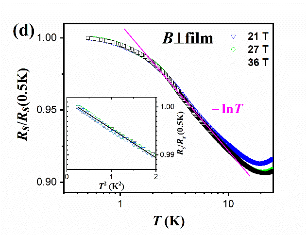
近日,聂家财教授和刘海文教授团队首次在Nd0.8Sr0.2NiO2薄膜中发现了与磁场驱动的SMT相关的QGS。该系统在面内和面外磁场下都表现出各向同性的SMT特征(图1a,b)。在对等温磁阻曲线(图1c,d)进行标度分析后发现,有效动态临界指数在接近零温临界点Bc*时表现出发散行为(图1e,f),从而确定了其QGS特性。此外,与QGS相关的量子涨落可以定量地解释SMT相界中在零温度附近的面内、面外上临界场的上升(图2a,b)。这些特性表明Nd0.8Sr0.2NiO2超导薄膜中的QGS是各向同性的。此外,更高的磁场产生金属态,电阻-温度关系R(T)在3-10 K范围内表现出lnT依赖性(图2c,d),而在低于1.5 K时表现出T2依赖性,这是近藤散射的重要证据。各向同性QGS可归因于超导涨落和近藤散射之间的竞争(图2e,f),该研究结果有助于揭示该系统中非常规的超导机制。
相关成果近日以“Isotropic quantum Griffiths singularity in Nd0.8Sr0.2NiO2 infinite-layer superconducting thin films”为题刊发在国际著名期刊Physical Review Letters上[4],并被选为Editor’Suggestion。a漫画 的博士生赵强和邵婷娜共同担任第一作者。a漫画 的聂家财教授和刘海文教授为本文通讯作者。参与本工作的还包括a漫画 的窦瑞芬教授、熊昌民副教授以及聂家财教授课题组的研究生杨文龙、王雪妍、陈星宇、陈美慧、朱芳慧和陈承雪。
这项工作得到了国家自然科学基金委的经费支持,以及中国科学院合肥物质科学研究院强磁场科学中心的技术支持。






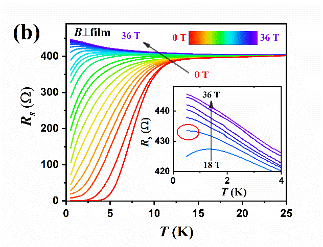
图1 | (a)面内磁场和(b)垂直磁场下的等磁Rs(T)曲线。插图是磁场范围为18-36T的低温下的放大图。红圈分别表示面内磁场和垂直磁场下极低温下19.5T和19.0T的Rs平台。(c)面内和(d)垂直磁场下极低温区的等温Rs(B)曲线。插图是磁场和电流方向的实验配置。(e)面内和(f)垂直磁场下,有限尺寸标度分析给出的临界指数zn。红色实线为基于激活标度定律的拟合曲线,水平的品红色虚线表示zn=1。





图2 | (a)面内和(b)垂直磁场下每两个相邻温度下等温磁阻曲线的交叉点(红圈)。蓝圈表示在面内磁场和垂直磁场下的上临界场(90%),红色实线是基于QGS分析的拟合曲线。(c)面内和(d)垂直高强磁场下的Rs-T曲线。粉红色线表示在10-3 K温度范围内Rs的lnT依赖性。(c)和(d)中的插图显示了Rs在最低温度范围内的T2行为。(e)零磁场和(f)强磁场下,Nd0.8Sr0.2NiO2的NiO2平面二维方形晶格上的t-J-K模型图示。
[1] D. F. Li, K. Lee, B. Y. Wang, M. Osada, S. Crossley, H. R. Lee, Y. Cui, Y. Hikita, and H. Y. Hwang, Superconductivity in an infinite-layer nickelate, Nature 572, 624 (2019).
[2] T. N. Shao, Z. T. Zhang; Y. J. Qiao, Q. Zhao, H. W. Liu*, X. X. Chen, W. M. Jiang,C. L. Yao, X. Y. Chen, M. H. Chen, R. F. Dou, C,. M. Xiong, G. M. Zhang*, Y. F. Yang*, and J. C. Nie*, Kondo scattering in underdoped Nd1-xSrxNiO2 infinite-layer superconducting thin films, Nat. Sci. Rev. 10(11): nwad112 (2023).
[3] Y. Xing, H, M. Zhang, H. L. Fu, H. W. Liu, Y. Sun, J. P. Peng, F. Wang, X. Lin, X. C. Ma, Q. K. Xue, J. Wang, X. C. Xie, Quantum Griffiths singularity of superconductor-metal transition in Ga thin films, Science 350, 542 (2015).
[4] Q. Zhao, T.N. Shao, W.L. Yang, X. Y. Wang, X. Y. Chen, M. H. Chen, F. H. Zhu, C. X. Chen, R. F. Dou, C. M. Xiong, H. W. Liu*, and J. C. Nie*, Isotropic quantum Griffiths singularity in Nd0.8Sr0.2NiO2 infinite-layer superconducting thin films, Phys. Rev. Lett. 133, 036003 (2024).
论文链接://journals.aps.org/prl/pdf/10.1103/PhysRevLett.133.036003
(复制链接至网页打开或点击文末“附件下载”查看)
附件下载:



