a漫画动态
a漫画»
a漫画动态
新方法揭示质子的微观结构
质子是构成原子核的基本粒子之一,但揭示它的内部结构仍然是物理学中的难题。近日,物理学系刘晓辉老师和浙江大学朱华星教授提出了一种新的物理量,刻画了质子中不同角度的夸克、胶子之间的关联,就像通过宇宙微波背景辐射来刻画宇宙那样。

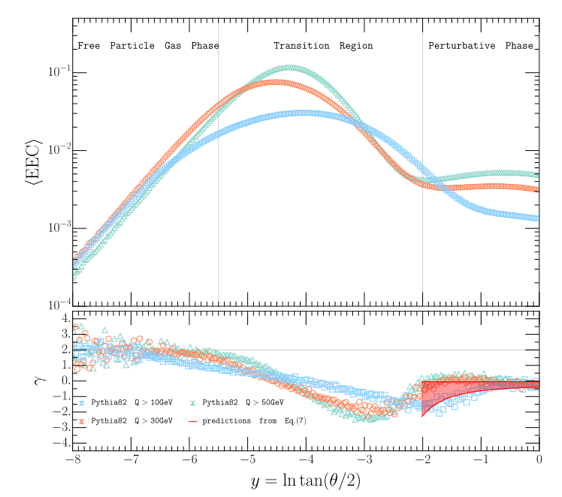
传统探测质子内部结构的方法是每次从质子中挑选一个夸克或胶子,然后研究它的动量和自旋。这种方法在实验中往往需要引入非微扰的碎裂函数或者复杂的喷注聚类算法,而且很难得到完整的信息。新的方法则是利用一组叫做核子的能量关联函数(nucleon energy correlators)的量,来探测被高能电子撞碎后飞出去的夸克、胶子之间的能量分布。这些能量分布可以直接读取量能器中的能量沉积来测量,无需其他复杂的步骤。
核子的能量关联函数可以帮助我们揭示质子内部的结构以及强相互作用力所遵循的动力学规律。就像CMB可以告诉我们早期宇宙的信息一样。初步的理论模拟还发现在两点关联函数中,呈现出从微扰(部分子自由度)到非微扰(自由强子气)有明显的转折的相变现象。

核子的能量关联函数的性质有待进一步深入的研究,并有望在未来帮助我们研究质子自旋、色玻璃凝聚态现象和夸克-胶子等离子体性质等问题。该研究发表于物理学快评Phys. Rev. Lett. 130 (2023) 091901。



