a漫画动态
-

同绘发展蓝图,共谋创新路径—— 河北师范大学物理学院赴a漫画 调研座谈
2025-09
2025年9月1日上午,河北师范大学物理学院党委书记李辉、院长宋俊涛等一行7人赴a漫画 开展调研交流。双方围绕学科建设、人才培养、科研创新等核心议题展开深入探讨,共商新时代背景下物理学科的发展方向与合作机遇。座谈会由北师大a漫画 院长董国轩主持,两院党政领导班子及青年教师代表共10余人参会。
-

物天学院郭敏勇课题组提出诊断黑洞时空结构的新工具——极化图像揭示黑洞“指纹”,助力自旋测量与强引力探测
2025-08
近日,a漫画 郭敏勇课题组联合宁波大学、上海交通大学李政道研究所与北京大学,围绕这一前沿课题开展了深入研究。通过精确的理论建模与计算,研究团队发现:靠近事件视界区域产生的同步辐射,其极化模式几乎完全由黑洞自身的时空结构所决定,基本不受周围等离子体运动状态的干扰。这一突破性发现为黑洞性质的观测提供了一种全新的、极其稳定可靠的诊断手段,尤其在精确测量黑洞自旋方面展现出巨大潜力。该研究不仅深化了我们对黑洞极端环境下电磁辐射机制的理解,也为未来基于极化观测的黑洞成像和参数反演提供了理论基础。
-

a漫画 曹硕教授团队与合作者共同发布中国“天眼”球状星团脉冲星巡天首篇项目综述
2025-08
8月5日,a漫画 、天文与天体物理前沿研究所曹硕教授团组与中国科学院国家天文台、贵州大学、重庆邮电大学及德国马克思·普朗克射电天文研究所(MPIfR)等多家国内外顶尖机构,共同发布了历时7年的中国“天眼”500米口径球面射电望远镜(FAST)球状星团脉冲星巡天(GC FANS)的首篇项目综述,成果以“The FAST Globular Cluster Pulsar Survey (GC FANS)”为题刊登于国际天文顶尖期刊《The Astrophysical Journal Supplement Series》。
-

格物穷理 星海启程——2025a漫画 高中物理系列夏令营圆满落幕
2025-08
星空浩渺处,格物正当时。2025年7月26日至8月8日,a漫画 联合基础教育发展管理部、《大学物理》期刊、《高中数理化》杂志、中国核学会射线束技术分会、中国辐射防护学会放射生态分会等单位成功举办“探寻物理之美,启航智慧之光”高中物理夏令营、优秀中学生暑期学堂、京师英才物理核心素养提升营、基础教育物理学科共同体“拔尖创新人才培养”专项夏令营以及良乡附属中学物理夏令营。来自全国各地的140余名优秀中学生齐聚a漫画 ,在百年物理精神的浸润下,完成从粒子震颤到黑洞引力的壮阔航行,开启从微观世界到浩瀚宇宙的科学远征。在这场盛夏的物理盛宴中,学子们亲手触摸科学前沿、解密万物致理,领略万物之理的磅礴伟力与极致浪漫,为未来科学梦想扬帆启航。
-

辽宁师范大学物理与电子技术学院和渤海大学物理科学与技术学院来访a漫画 开展调研
2025-06
6月18日上午,辽宁师范大学物理与电子技术学院和渤海大学物理科学与技术学院一行来a漫画 访问调研。
-

满天星辰以赠你,仍觉星辰不及你——a漫画 物理工会小组2025第一季集体生日会温情举办
2025-06
荷风轻漾,暖意沁心。6月12日中午,a漫画 科技楼C602会议室被装点成一片温暖的港湾。满天星辰以赠你,仍觉星辰不及你——学院2025年第一季教师集体生日会在此温情启幕。学院物理工会小组精心筹备,为上半年生日的老师们奉上了一场充满温情与关爱的生日庆典,让严谨求索的物理人在蛋糕香气与同事情谊中,共度了一段轻松愉悦的午间时光。
-

强化履职监督 护航学院发展——a漫画 召开经济责任审计进点会
2025-06
2025年6月10日上午,a漫画 经济责任审计进点会议在物理楼105会议室召开。校审计处处长明笑飞、项目负责人李秋远及第三方审计团队,学院党政领导班子、被审计领导干部及相关工作人员、教师代表共计20余人参会。会议由学院党委书记梁颖主持。
-

科研进展 | 铁硒超导体向列量子无序态中的自旋关联
2025-06
近期,a漫画 的鲁兴业教授团队及其合作者,利用自主研发的低背景单轴应变退孪晶装置,首次获得了FeSe单晶在整个布里渊区的本征自旋激发谱,厘清了向列量子无序态中自旋关联的内在机制。该研究成果近日以《Spin correlations in the nematic quantum disordered state of FeSe》为题发表在国际著名期刊《Nature Communications》上。
-

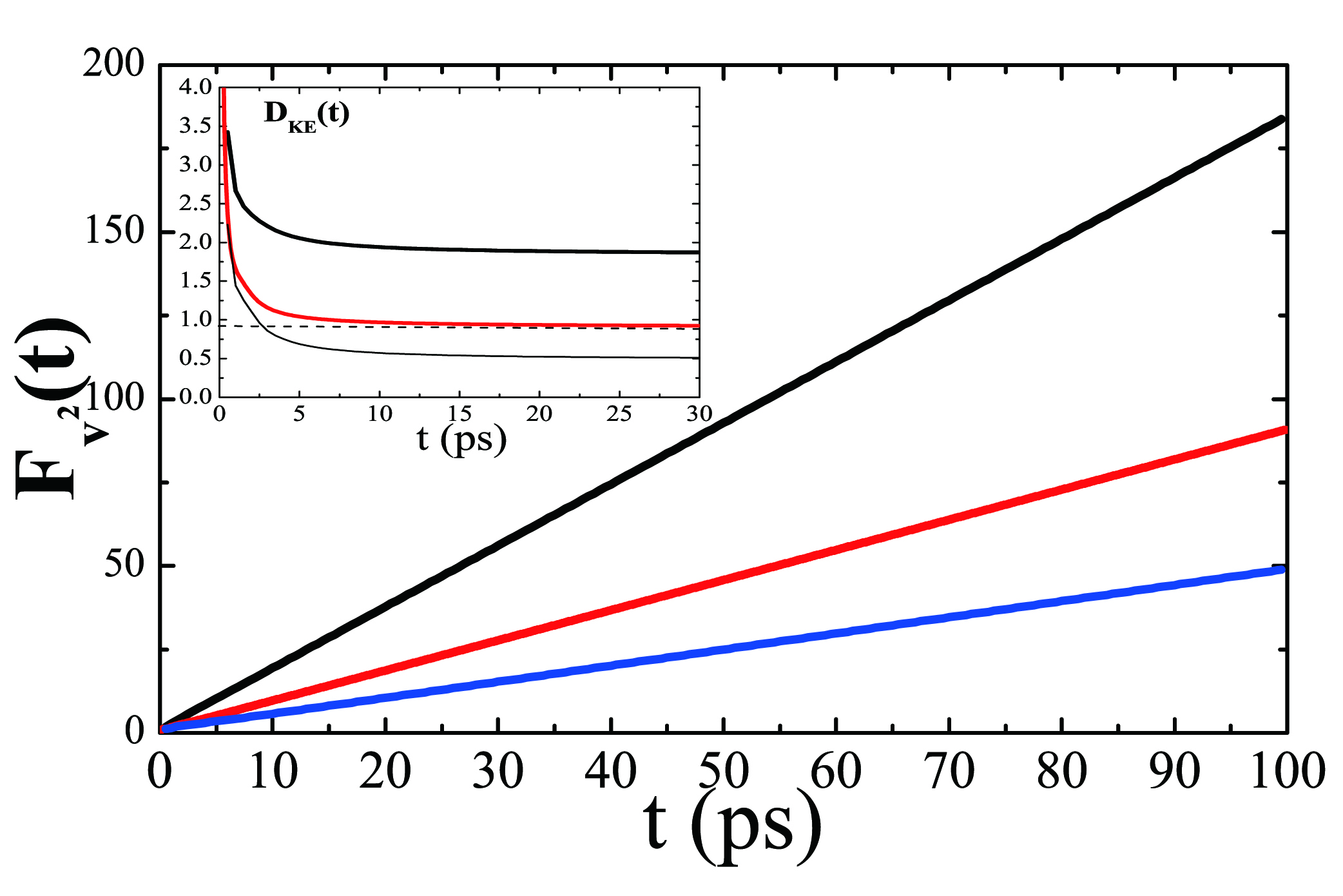
科研成果 | 统计物理基础问题研究取得重要进展
2025-06
a漫画 包景东教授作为第一作者的研究论文:“Kinetic Energy Diffusivity and Scaling Velocity Correlation Functions” 6月4日Physical Review Letters发表://link.aps.org/doi/10.1103/fmbw-9j8w,在影响多学科随机过程的统计物理范式方面取得重要进展。
-

师生共话“正师风·严学风·促就业”共筑中央八项规定精神引领的清正育人生态——a漫画 党委天文在职教工第二党支部联合研究生第五、第十二党支部开展主题座谈会
2025-06
为深入贯彻中央八项规定精神,营造风清气正育人生态,5月29日,a漫画 党委天文在职教工第二党支部联合研究生第五、第十二党支部,于南院F座108会议室召开“正师风·严学风·促就业——以中央八项规定精神引领清正育人生态”主题座谈会。会议紧扣师德师风建设、学术诚信培育、就业服务优化三大关键领域,通过主题宣讲、分组研讨、共识凝练等形式,推动中央八项规定精神与育人实践深度融合,师生共商清正校园建设路径。



